Specific circumstances can trigger other forms of depression or subsets of the condition. Depression is a serious mental health condition.
Prevalence Of Depression In Patients With Type 2 Diabetes
diabetes depression statistics is free HD wallpaper was upload by Admin. Download this image for free in HD resolution the choice "download button" below. If you do not find the exact resolution you are looking for, then go for a native or higher resolution.
Don't forget to bookmark diabetes depression statistics using Ctrl + D (PC) or Command + D (macos). If you are using mobile phone, you could also use menu drawer from browser. Whether it's Windows, Mac, iOs or Android, you will be able to download the images using download button.
According to nice people diagnosed with a chronic physical health problem are 3 times more likely to be diagnosed with depression than people without.
Diabetes depression statistics. According to statistics in the. It can affect anyone regardless of culture background and family history. Comorbid diabetes and depression are a major clinical.
Does type 2 diabetes put you at a higher risk for depression. Heres what you need to know including how to identify symptoms and plan for treatment. To a bi directional link between diabetes and depression says.
Objective to estimate the odds and prevalence of clinically relevant depression in adults with type 1 or type 2 diabetes. Its estimated that 162. Diabetes and depression occur together approximately twice as frequently as would be predicted by chance alone.
Several factors including sedentary lifestyle obesity and an aging population contribute to epidemic rates of type 2 diabetes mellitus. How does depression affect diabetes. We used x 2 statistics.
New links seen between depression and diabetes.
The Prevalence Of Comorbid Depression In Adults With
The Prevalence Of Comorbid Depression In Adults With
The Prevalence Of Depression In Patients With Diabetes
Prevalence Of Depression In Patients With Type 2 Diabetes
Products Data Briefs Number 167 October 2014
Understanding The Connection Between Diabetes And Depression
Prevalence And Determinants Of Depressive And Anxiety
Diabetes Depression And Quality Of Life Diabetes Care
Products Data Briefs Number 167 October 2014
Behavioral Problems And Depressive Symptoms In Adolescents
Global Study Examines Depression With Diabetes
The Prevalence Of Comorbid Depression Based On Phq 9 Score
Management Of Common Comorbidities In Diabetes Ppt Download
Number Of People Living With Diabetes Doubles In Twenty
Prevalence Of Depression Among Men And Women Suffering Type
Diabetes And Depression The Vicious Cycle How To Treat
Prevalence Of Depression In Type 2 Diabetes Mellitus
Chapter 2 Diabetes In Canada Facts And Figures From A
Products Data Briefs Number 303 February 2018
The Link Between Depression And Diabetes The Search For
Type 2 Diabetes Mellitus Practice Essentials Background
Prevalence Of Depression And Anxiety In Patients With Cystic
Welcome To Journal Of The Association Of Physicians Of India
Diabetes In African American Youth Diabetes Care
Products Data Briefs Number 303 February 2018
The Relationship Between Mental Health Mental Illness And
Prevalence Of Depression Among Arab Women With Type 2
Chapter 2 Diabetes In Canada Facts And Figures From A
Depression And Diabetes Improving Outcomes Through
Preventing Chronic Disease November 2011 10 0269
Chapter 3 Trends In Morbidity And Risk Factors Gov Uk
Cbhsq Data Review Comparison Of Physical Health Conditions
The Association Of Comorbid Diabetes Mellitus And Symptoms
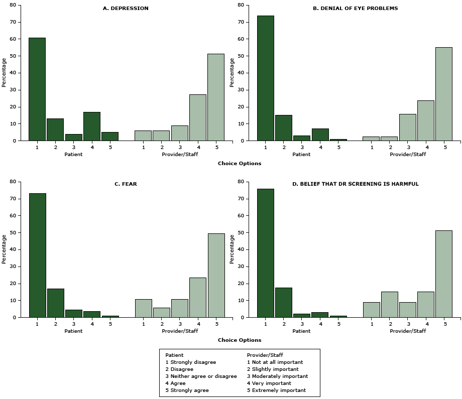
Divergent Perceptions Of Barriers To Diabetic Retinopathy
Increased Risk Of Incident Chronic Kidney Disease
Health The High Cost Of Diabetes Oecd
Constructs Of Depression And Distress In Diabetes Time For
Mental Health And Diabetes Resources
Depression Facts Statistics And You
Mental Health And Chronic Diseases Cdc Fact Sheet
Diabetes Associated Depression The Serotonergic System As A
Patterns And Temporal Trends Of Comorbidity Among Adult
Chapter 2 Diabetes In Canada Facts And Figures From A
The Association Between Insulin Therapy And Depression In
Eating Disorders Diabulimia In Type 1 Diabetes Joslin
Welcome Understanding Behavioral Change To Help Improve
Pdf High Prevalence Of Depression Anxiety And Stress
Chapter 3 Trends In Morbidity And Risk Factors Gov Uk
Anxiety Disorders Are Associated With Quality Of Life
Diabetes And Amputation Everything You Need To Know To
Type 2 Diabetes And Comorbid Symptoms Of Depression And
Jmir Web Based Cognitive Behavior Therapy For Depression
Prevalence Of Depression And Depressive Symptoms Among
Statistics Singapore Health Status And Health Related
Number Of People With Diabetes Reaches 4 7 Million Diabetes Uk
Millennials Health Plummets After The Age Of 27 Study
Diabetes In African American Youth Diabetes Care
Prevalence And Prevention Of Cardiovascular Disease And
Diabetes And Depression Statistics Diabetes And Depression
Older People S Health Data And Stats Ministry Of Health Nz
Economic Costs Of Diabetes In The U S In 2017 Diabetes Care
Figure 1 From Depression And Type 2 Diabetes In Low And
Number Of People Living With Diabetes Doubles In Twenty
Mass Millennials Depression Rates Among Highest In Country
Global Trends In Diabetes Complications A Review Of Current
Diabetes Statistics Infographics Visual Ly
Role Of Magnesium Supplementation In The Treatment Of
Depression In Type 2 Diabetes Mellitus Prevalence Impact
Comparison Of The Percentages Of Women With Diabetes
Depression And Type 2 Diabetes In Low And Middle Income
An Epidemiological Perspective On Type 2 Diabetes Among
Statistics Singapore Health Status And Health Related
Products Data Briefs Number 303 February 2018
The Association Of Comorbid Diabetes Mellitus And Symptoms
Prevalence Of Depression In The Community From 30 Countries
Epidemiology Of Depression Wikipedia
Prevalence Of Anxiety And Depression Among Outpatients With
Type 2 Diabetes Pharmacological Management Strategies
Epidemiology Of Diabetes Wikipedia
Type 2 Diabetes Statistics Facts And Trends
The State Of Type 2 Diabetes When Health Becomes A Full
Type 2 Diabetes Mellitus Practice Essentials Background
Depression Is Associated With Diabetes Status Of Family
Minnesota Has One Of The Highest Rates Of Depression In U S
Depression In Patients With Medical Condition
Diabetes And Amputation Everything You Need To Know To
Diabetes And Depression Statistics Diabetes And Depression
American Heart Association Diabetes And Cardiometabolic
Pathways For The Relationship Between Diabetes Distress





